近日,我校港口海岸与近海工程学院潘毅教授团队在海岸工程领域权威期刊《Coastal Engineering》以“Comparative study on volume conservation among various SPH models for f lows of different levels of violence”为题在线发表研究成果。该研究对光滑粒子流体动力学(Smoothed Particle Hydrodynamics,SPH)模型进行了体积守恒性对比,揭示了多种改进SPH模型的体积守恒性规律并提出了数值改进,为SPH模型在海岸工程领域的相关应用提供了参考。潘毅教授为论文通讯作者,其指导的硕士研究生汪明智为第一作者,中山大学孙鹏楠副教授为共同通讯作者。
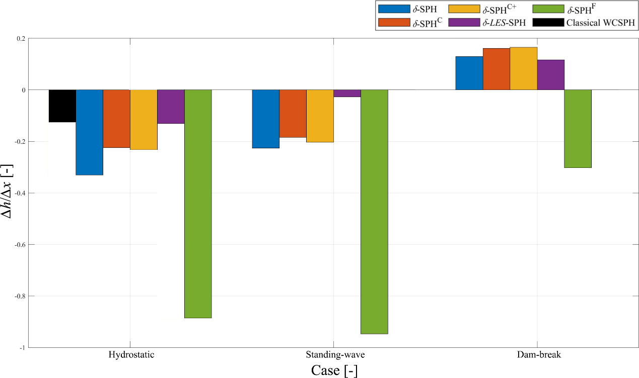
SPH模型是一种无网格流体力学数值模型,擅长模拟大变形流体运动。目前有多种SPH改进模型被提出和应用于海岸工程相关的大变形自由表面流数值模拟,但目前尚不明确这些改进模型在静水状态下的体积守恒性。针对这个科学问题,该研究针对部分代表性改进模型(图1),选取3种自不同剧烈程度流动演化至静水状态的算例(图2),测试这些模型在静水状态下平均水位随时间的变化过程(图3),最后定量对比这些模型的体积守恒性(图4)。

图1 本研究测试的多种改进SPH模型的特性对比

图2 本研究采用的3种具有不同流动剧烈程度的算例:(a)静水、(b)驻波和(c)溃坝

图3 多种水深和分辨率下的各模型无量纲平均水位时间历程(以驻波算例为例)

图4 各模型在不同算例下第2000s的水位变化,反映其体积守恒性
研究发现,在测试的模型中,δ-LES-SPH模型具有最好的体积守恒性,δ-SPHF模型的体积守恒性需要增强,对此本研究对该模型提出了新的数值改进,其它模型在分辨率较高的情况下其体积守恒性满足长时间尺度的应用需求。
本研究结果为基于弱可压缩SPH模型模拟海岸工程领域相关的长时间尺度自由表面流提供了参考。
论文信息:Mingzhi Wang, Yi Pan*, Xukun Shi, Jinli Wu, Pengnan Sun*, Comparative study on volume conservation among various SPH models for flows of different levels of violence, Coastal Engineering, Volume 191, 2024, 104521, ISSN 0378-3839, http://doi.org/10.1016/j.coastaleng.2024.104521.